
第一作者:彭怡荫
通讯作者:卞兆勇教授
论文DOI: //doi.org/10.1016/j.apcatb.2024.124820
图文摘要

成果简介
近日,卞兆勇教授团队在Applied Catalysis B: Environment and Energy上发表了题为“Carbon defect induced electron transfer promotes electrocatalytic activation of molecular oxygen to selectively generate singlet oxygen for pollutants removal”的研究论文(DOI:10.1016/j.apcatb.2024.124820),探索了结合缺陷石墨烯和氮化硼(BN)的异质结设计,通过建立高效的电子传输通道来激活分子氧(O₂)并降解磺胺甲噁唑(SMX)。该研究基于理论计算结构和性能预测,通过控制碳缺陷浓度和热解温度成功合成了缺陷石墨烯/氮化硼(GBN)异质结催化剂。优化后的GBN催化阴极实现了0.0252 min−1的最大SMX降解速率和47.31%的总有机碳(TOC)去除率。单线态氧(1O2)被证明为该反应体系主要活性氧,其生成率为18.66 μM min−1,对SMX降解的贡献率为93.5%。研究结果表明,最佳缺陷浓度可增强电子传递,促进O2的2电子还原为H2O2以及H2O2的进一步活化,从而加速SMX降解。这项工作有利于无金属阴极催化剂的发展,为电化学降解有机污染物机制提供了新的见解。
全文速览
该研究首先通过理论计算发现在石墨烯表面引入缺陷有利于建立石墨烯到氮化硼的层间电子传输通道,实验结果表明适量的缺陷存在使得石墨烯中碳原子发生结构重组,促进异质结催化剂的分子氧活化性能。基于此,该课题组采取温度控制策略,通过一步热解法制备了具有不同缺陷浓度的石墨烯/氮化硼(GBN)催化剂,并评估了这些催化剂在活化O2、选择性生成和活化H2O2以及降解磺胺甲噁唑(SMX)过程中的能量变化和电荷转移机制。最后,结合ESR和探针实验确认了单线态氧(1O2)为降解SMX的主要ROS,并通过在不同反应条件下的SMX降解效果和SMX降解路径与产物毒性分析,探讨了GBN无金属异质结催化阴极在基于分子氧活化的电化学降解技术中的环境意义。
引言
活性氧物种(ROS)的生成与H2O2的原位生成及活化过程密切相关。这些ROS具有不同的活性,因此有必要合理应用它们的特性,以实现目标反应物的高效转化处理。同时,为了满足有效去除有机污染物的实际需求,需要进一步研究可选择性生成特定ROS的电极催化材料。基于该课题组前期研究结果,构建无金属异质结可以提高分子氧的活化和ROS的生成,从而改善有机污染物的降解和去除性能。而在石墨烯表面引入缺陷已被证明是提高分子氧2电子活化性能的关键策略之一,这归因于碳基体中的结构缺陷会引起局部电子的不对称再分布,从而显著提高碳基材料的电催化性能。更重要的是,H2O2生成量的提高为进一步活化和转化生成ROS提供了有利的先决条件。此外,具有合适电子结构的催化剂不仅有利于H2O2的原位生成,也促进H2O2进一步活化生成ROS。已有研究表明,氮化硼结构的存在不仅能提高催化阴极的2电子氧还原性能,还能促进ROS的有序生成。基于上述事实,该研究通过理论计算预测催化剂结构,结合热处理在石墨烯表面引入碳缺陷,设计分子氧活化、污染物降解、ESR与探针实验,探究了缺陷石墨烯与氮化硼异质结活化分子氧选择性生成单线态氧降解有机污染物的反应机制。
图文导读
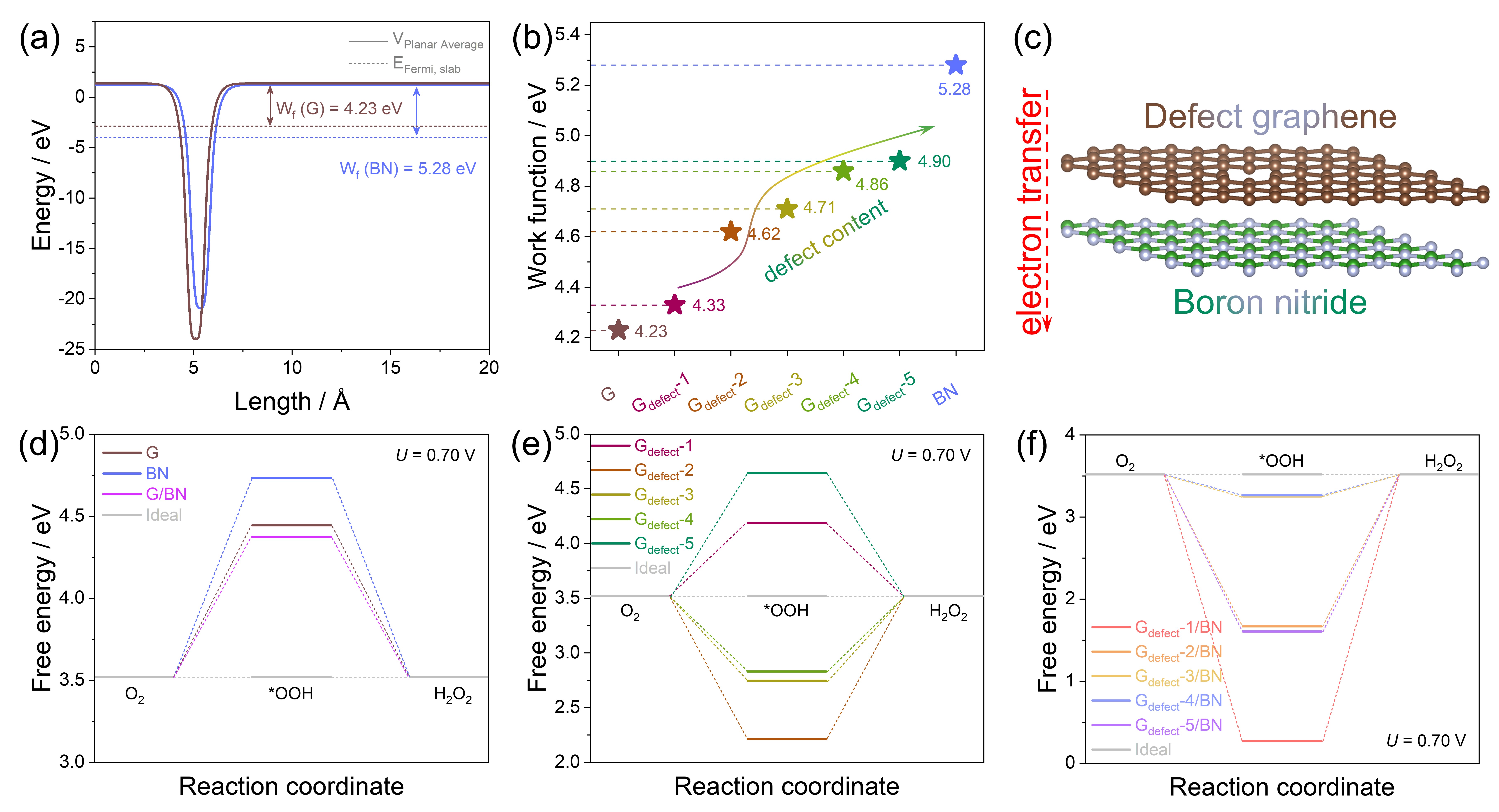
理论预测Gdefect/BN催化剂结构与性能

Fig. 1. The calculated work functions (Wf) of G, BN, and Gdefect models (a-b). (c) Schematic of the Gdefect/BN computational model with electron transfer. Comparison of H2O2 generation performance on different catalyst structures: (d) G, BN, and G/BN, (e) Gdefect, (f) Gdefect/BN.
通过理论计算发现,在石墨烯表面引入缺陷后,缺陷石墨烯与氮化硼之间的功函数差距逐渐缩小,形成了从缺陷石墨烯到氮化硼的电子传输通道。分子氧活化的自由能计算结果表明:与单独的石墨烯和氮化硼相比,石墨烯与氮化硼形成的异质结更有利于2电子氧还原过程进行;石墨烯表面引入碳缺陷后,随着缺陷浓度的升高,缺陷石墨烯(Gdefect)和缺陷石墨烯/氮化硼(Gdefect/BN)催化剂表面的2电子氧还原性能均呈现先升高后降低趋势,说明存在最佳碳缺陷浓度使得Gdefect/BN催化性能达到最佳。
表征测试

Fig. 2. The TEM images of G (a) and GBN (b) catalysts, corresponding EDS-Mapping (e-j) images. ((c) and (d) are locally enlarged images of the G segment and the BN segment, respectively)
考虑到氧化石墨烯在热还原形成石墨烯的过程中会引入碳缺陷,而氮化硼具有极高的热稳定性。通过控制热解温度,采用一步热解法制备了不同缺陷含量的石墨烯和氮化硼复合催化剂(GBN)。通过SAED衍射结果确认了GBN催化剂的组成,证明了GBN复合催化剂的成功合成。
分子氧活化性能测试

Fig. 3. CV curves (a) and Tafel plots (b) of G, BN, and GBN cathodes. The RRDE curves (a) of G, BN, and GBN catalysts at 1600 rpm under 10 mV s−1, RRDE-corresponding (b) H2O2 selectivity and (c) electron transfer number (n). (d) The H2O2 concentration on G, BN, and GBN cathode at 0.05 M O2-saturated Na2SO4 solution.
对三种典型催化阴极材料的分子氧活化性能进行初步研究。G、BN和GBN三种催化阴极均具有分子氧活化能力,GBN阴极在相同的电流密度窗口内具有最大的峰值氧还原电流密度,表明其增强了分子氧活化能力。然而,GBN对应的H2O2生成浓度低于G和BN,表明在GBN异质结体系中可能发生H2O2的原位活化。
ROS生成性能测试

Fig. 4. Spin-trapping ESR spectra of (a) DMPO-HO•, (b) DMPO-O2•−, and (c) TEMP-1O2 on G, BN, and GBN three catalytic cathodes system. The corresponding curves of (d) HO•, (e) O2•−, and (f) 1O2 concentration change over G, BN, and GBN three electrode systems.
通过ESR和探针实验评估催化体系ROS生成性能。在G、BN和GBN阴极体系中未检测到HO•。与单独的G和BN阴极体系相比,GBN体系表现出更强的O2•−和1O2信号强度,表明GBN阴极体系产生了更多的ROS用于降解污染物。
SMX降解性能验证

Fig. 5. The SMX removal of catalytic cathode prepared at 800 °C: removal effect of G, BN, and GBN cathode (a) and corresponding kapp comparison (b). TOC removal (c) of SMX in different catalytic cathode systems. (d) The SMX removal within GBN electrode in different reaction processes (The applied current were 0.12 mA and 12 mA for electro-adsorption and electrocatalysis processes, respectively). (e) Spin-trapping ESR spectra of TEMP-1O2 on GBN catalytic system. The ROS contributions (f) for SMX removal in GBN cathode system.
通过降解目标污染物SMX评估异质结催化剂性能,证实了引入碳缺陷的促进作用,优化的GBN催化阴极实现了0.0252 min−1的最大SMX降解速率和47.31%的TOC去除率。在基于电活化分子氧的SMX降解体系中,主要的ROS为1O2,其贡献率达到93.5%。
小结
通过理论计算预测和实验验证相结合的方法,证实了在石墨烯表面引入缺陷可显著增强异质结体系中ROS的生成与污染物活化性能,阐明了ROS生成与污染物降解之间的关系,揭示了非金属异质结GBN催化阴极活化分子氧降解污染物的机理。这些发现为设计用于环境修复的高效无金属电催化剂提供了重要见解,为应对新污染物挑战提供了一种前景广阔的策略。
通讯作者介绍

卞兆勇教授,博士生导师,现任职于棋牌游戏 。主要研究方向包括绿色能源驱动污染消除理论与技术、水中污染物富集与资源化技术、新污染物迁移转化规律及控制原理、光/电催化废弃物高附加值资源化利用技术等研发。在国内外重要学术期刊发表高水平研究论文100余篇,获得国家发明专利授权10余项。主持和参与国家自然科学基金和重点研发计划项目等10余项。
备注:Permissions for reuse of all Figures have been obtained from the original publisher. Copyright 2024, Elsevier Inc
参考文献:Peng Yiyin, Xiao Wenyu, Wang Hui, Bian Zhaoyong, Carbon defect induced electron transfer promotes electrocatalytic activation of molecular oxygen to selectively generate singlet oxygen for pollutants removal, Applied Catalysis B: Environment and Energy, 2024, 124820.
文章链接: //www.sciencedirect.com/science/article/pii/S0926337324011342
近期热点
2024-11-20
第十七届中国水论坛(更新至...